asmel Опубликовано 4 марта, 2017 Опубликовано 4 марта, 2017 (изменено) Посмотрите, какие еще важные примеси оттуда можно стащить. с ацетоном прекрасное совпадение по парам чистого ацетона С изоамилом уже ясно Непонятно, что ясно? еще раз проверил по парам чистого изоамилола и по изотерме и по изобаре очень хорошее совпадение. мне показалось, что точность увеличивается при расчетах в трехкомпонентной смеси Изменено 4 марта, 2017 пользователем asmel
Rudy Опубликовано 4 марта, 2017 Опубликовано 4 марта, 2017 (изменено) Ты вроде убедительно показал, что iso-pentanol это изоамил. Но то, что выдает калькулятор, не бьет с данными от многих источников по нему. Следовательно этот калькулятор считает неправильно и его результаты по изоамилу использовать нельзя. Там есть честное предупреждение, что это чисто расчетные данные и они не сверялись с экспериментальными. Изменено 4 марта, 2017 пользователем Rudy
asmel Опубликовано 4 марта, 2017 Опубликовано 4 марта, 2017 (изменено) Там есть честное предупреждение, что это чисто расчетные данные и они не сверялись с экспериментальными Ну так покажи хоть одну табличку с экспериментальными данными Кстати автор интересуется нестыковками. На явных расхождениях можешь завязать с ним отношения. Глядишь, порадуешь нас еще более универсальным калькулятором. VLE calculations using UNIFAC. Made by faculty at the University of Colorado Boulder, Department of Chemical and Biological Engineering. Изменено 5 марта, 2017 пользователем asmel
Rudy Опубликовано 5 марта, 2017 Опубликовано 5 марта, 2017 (изменено) Например Дорош Есть еще один вариант образования нестыковок. Как правило приводится Крект для малых (1-2%) концентраций примеси, а наименьшая концентрация в таблице - 5%мол. Попроси автора нарисовать данные для 1%мол изоамила для 1 бара и 0.1 бара. ТОЛЬКО НЕ В ТВОЕМ ЛЮБИМОМ ФОРМАТЕ!!! В нормальном пожалуйста. Кстати, серьезным недостатком калькулятора является невозможность задания шага и диапазона изменения концентрации компонент. Изменено 5 марта, 2017 пользователем Rudy
asmel Опубликовано 5 марта, 2017 Опубликовано 5 марта, 2017 (изменено) ТОЛЬКО НЕ В ТВОЕМ ЛЮБИМОМ ФОРМАТЕ!! любимый формат - %об делается для понимания 95% пользователей, для которых моль% все равно что энтропия самогонки. Например Дорош вытаскивать цифры из этой картинки то же самое что измерять объем 50 литрового куба чайными ложками. Попроси автора нарисовать данные для 1%мол изоамила автор - faculty at the University of Colorado Boulder, Department of Chemical and Biological Engineering - мне что, весь факультет опрашивать. Кстати, серьезным недостатком калькулятора является невозможность задания шага и диапазона изменения концентрации компонент. Ну не знаю, я и представить себе не мог, что можно сделать программы для тех расчетов, как в этом калькуляторе. Так что не мне нос воротить от того, что они сделали. Изменено 5 марта, 2017 пользователем asmel
asmel Опубликовано 5 марта, 2017 Опубликовано 5 марта, 2017 (изменено) Например Дорош Например стр 200 калькулятор VLE практически полное совпадение, если не считать опечатку в таблице Стабникова при температуре 90С. Изменено 5 марта, 2017 пользователем asmel
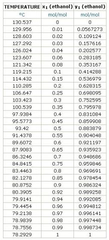
asmel Опубликовано 6 марта, 2017 Опубликовано 6 марта, 2017 Построил в Екселе графики данных изоамилол - этанол по данным Стабникова и калькулятора VLE Совпадение офигенное! 1
POLE Опубликовано 6 марта, 2017 Опубликовано 6 марта, 2017 Посмотрите, какие еще важные примеси оттуда можно стащить. Все что нашел в калькуляторе. Важные (ИМХО по ним можно ориентироваться по ГХ и органолептически, они есть в браге и переходят в продукт): Уксусноэтиловый эфир ethyl acetate 141-78-6 Метиловый спирт methanol 67-56-1 Н-Пропанол n-Propanol 71-23-8 Изопропиловый спирт isopropanol 67-63-0 n-Бутиловый спирт 1-butanol 71-36-3 Изобутиловый спирт iso-butanol 78-83-1 Масляный альдегид n-butanal 123-72-8 Ацетальдегид acetaldehyde 75-07-0 Уксусная кислота acetic acid 64-19-7 Пропионовая кислота propanoic acid 79-09-4 Масляная кислота n-butanoic acid 107-92-6 Капроновая кислота n-hexanoic acid 142-62-1 1
Rudy Опубликовано 6 марта, 2017 Опубликовано 6 марта, 2017 asmel, температура кипения изоамила никому не нужна. Нужен Крект, а он неправильный. Pole, спасибо, попробую вытащить и проверить потихоньку. 1
asmel Опубликовано 6 марта, 2017 Опубликовано 6 марта, 2017 (изменено) температура кипения изоамила никому не нужна по оси у мольная концентрация в жидкости и паре, и по оси х температура кипения не изоамилола, а смеси изоамилола и спирта из таблицы прекрасно высчитываются Кректы а это данные из Стабникова, с полным совпадением с данными из VLE кстати, по ссылке из книги - это экспериментальные данные 1949 года от американов. такое ощущение, что VLE брал оттуда коэффициенты для своих уравнений. Нужен Крект, а он неправильный. данные правильные, а Крект неправильный ?!!! Изменено 6 марта, 2017 пользователем asmel
Glog Опубликовано 6 марта, 2017 Опубликовано 6 марта, 2017 Rudy А можно узнать номер какой нибудь карты. В личку или публично. Хочу выразить признательность за калькулятор. Пользовался старыми версиями уже года 4. Не знал, что ты автор. Сейчас новую поставил на рабочий стол. Красота. В самом калькуляторе неплохо бы указать какой нибудь киви кошелек или яндекс деньги. Благодарных людей много. Думаю, будет работать. Ох уж эти сказочки! Ох уж эти сказочники!
Rudy Опубликовано 6 марта, 2017 Опубликовано 6 марта, 2017 asmel, ты уже столько постов написал, и все не туда. Рассчитай по их таблицам зависимость Крект изоамила от крепости при концентрации изоамила 0.05 и давлении 1 бар. Сведи эти данные в упорядоченную по крепости таблицу и сравни с источниками. Glog, спасибо, но не нужно. Эту прогу написал просто для себя, ну и выложил, раз уж есть. На этом сайте, да и на многих других люди выкладывают свои наработки вовсе не ради коммерции. Мне часто доводилось ими пользоваться, стараюсь ответить тем же. 4
asmel Опубликовано 6 марта, 2017 Опубликовано 6 марта, 2017 (изменено) asmel, ты уже столько постов написал, и все не туда. Почему не туда? Результаты по VLE полностью совпали с данными Стабникова. Показал я, что VLE адекватно работает? http://forum.grainwine.info/index.php/topic/27-kalkuljatori-vinokura/page-5?do=findComment&comment=226877 http://forum.grainwine.info/index.php/topic/27-kalkuljatori-vinokura/page-5?do=findComment&comment=226935 У Стабникова туда или не туда? Возьми из стабниковской таблицы данные и получи Кректы. Ты работаешь с Кректами, у меня немного другой подход. Изменено 6 марта, 2017 пользователем asmel
POLE Опубликовано 6 марта, 2017 Опубликовано 6 марта, 2017 Почему не туда? просто с практической точки зрения применимы только данные, о которых пишет [b][member=Rudy][/b], Рассчитай по их таблицам зависимость Крект изоамила от крепости при концентрации изоамила 0.05 и давлении 1 бар. Сведи эти данные в упорядоченную по крепости таблицу и сравни с источниками.
asmel Опубликовано 6 марта, 2017 Опубликовано 6 марта, 2017 (изменено) просто с практической точки зрения применимы только данные, о которых пишет Rudy, Почему бы вам самим, в таком случае, не просчитать туда, куда вам надо. И все проблемы с моим непониманием снимутся. С моей практической точки зрения данные VLE калькулятора очень даже применимы и нисколько не противоречивы, а наоборот совпадают с общепризнанными источниками данных. Изменено 6 марта, 2017 пользователем asmel
POLE Опубликовано 6 марта, 2017 Опубликовано 6 марта, 2017 данные VLE калькулятора очень даже применимы и нисколько не противоречивы, да никто не спорит с твоими доводами. [b][member=Rudy][/b], по своей инициативе взялся посчитать Крект попробую вытащить и проверить потихоньку.
Rudy Опубликовано 6 марта, 2017 Опубликовано 6 марта, 2017 (изменено) Вытащил Уксусноэтиловый эфир (мол.доля =0.05) при давлениях 1 и 0.1 бар (ethyl acetate -141-78-6). Недалеко от правды, но бьет плохо, а на малых крепостях странный бздыньк. Судя по всему, с точностью у них плохо. А вот на тенденцию общего поведения Крект при снижении даления вероятно можно ориентироваться. Изменено 7 марта, 2017 пользователем Rudy 3
breeee4 Опубликовано 7 марта, 2017 Опубликовано 7 марта, 2017 (изменено) тенденцию общего поведения Крект да! а как быть с ИзоАмилолом ? его друзья ИзоБутанол н-Пропанол есть в списке? Наверняка у них схожее поведение. з.ы. ой, всё увидел! есть... Изменено 7 марта, 2017 пользователем breeee4
POLE Опубликовано 7 марта, 2017 Опубликовано 7 марта, 2017 на малых крепостях странный бздыньк заметил такой всплеск не только у уксусноэтилового эфира. Судя по всему, с точностью у них плохо. вопрос философский. Похоже, что у них расчетные данные по теоретической модели с приемлемой точностью. Понятно, что с практикой мало что может совпадать в области низких концентраций. на тенденцию общего поведения Крект при снижении даления вероятно можно ориентироваться. точно. Но тут все-таки нужны данные в "пограничной" области при Крект=1 и давлении 0,1бар.
Rudy Опубликовано 7 марта, 2017 Опубликовано 7 марта, 2017 Ага. Я и хочу пройтись по примесям при двух давлениях (1 и 0.1 бар) и минимальной концентрации 0.05 (мол. доля).
Rudy Опубликовано 7 марта, 2017 Опубликовано 7 марта, 2017 Метанол 0.05 мол.доля Весьма близко к правде. 1
z200 Опубликовано 9 марта, 2017 Опубликовано 9 марта, 2017 скачал файлы из первого поста, ну вы пипец)))))))) спасибо.. ))))))) думал хоть таблица какая, а тут экзешник ))))))) кроме винды и линуха еще mac os существует ((( 1
Naruto Опубликовано 9 марта, 2017 Опубликовано 9 марта, 2017 (изменено) mac os существует Да не за что! (надеюсь ты где то спасибо сказал - галочку жамкнул людям которе это БЕСПЛАТНО написали и продолжают писать весьма полезные утилиты ...) А для яблоководов, к коим и я отношусь полно, симуляторов винды, весьма полезная в хозяйстве штука. Я пользую CrossOver (для эмуляции под конкретные софтины прямо в мас оси) и Parallels для поднятия полной виртуальной машины паралельно Мас оси. Изменено 9 марта, 2017 пользователем Naruto
Rudy Опубликовано 9 марта, 2017 Опубликовано 9 марта, 2017 Н-Пропанол (n-Propanol 71-23-8 ) пропускаю. Мало того, что не бьет, так и еще одинаковые цифры выдает и для 1 бара и для 0.1 бара.Изопропиловый спирт isopropanol 67-63-0 тоже врет с давлением, но не слишком далек от правды 1
POLE Опубликовано 9 марта, 2017 Опубликовано 9 марта, 2017 [b][member=Rudy][/b], для уточнения, графики при температуре кипения?
Рекомендуемые сообщения
Для публикации сообщений создайте учётную запись или авторизуйтесь
Вы должны быть пользователем, чтобы оставить комментарий
Создать аккаунт
Зарегистрируйте новый аккаунт в нашем сообществе. Это очень просто!
Регистрация нового пользователяВойти
Уже есть аккаунт? Войти в систему.
Войти